| [2017] FWCFB 3540 |
| FAIR WORK COMMISSION |
DECISION |
Fair Work Act 2009
s.156 - 4 yearly review of modern awards
VICE PRESIDENT HATCHER |
SYDNEY, 5 JULY 2017 |
Four yearly review of modern awards – Pharmacy Industry Award 2010.
Introduction
[1] Pursuant to s.156(1) of the Fair Work Act 2009 (the FW Act), the Fair Work Commission (the Commission) is required to conduct 4 yearly reviews of modern awards. This Full Bench was convened to hear and determine to six substantive claims that remained in dispute between the interested parties in respect of the Pharmacy Industry Award 2010 (Pharmacy Award). The substantive claims are set out below:
1. Minimum shift and provisions relating to the employment of school students;
2. The grades at which junior rates should apply;
3. The payment of overtime to casual employees;
4. The coverage of the annualised salary rate;
5. Shift length and terms of engagement for fulltime employees; and
6. Annual close down.
[2] The interested parties to these claims included the Australian Business Industrial (ABI), the NSW Business Chamber (NSWBC), the Pharmacy Guild of Australia (PGA), the Health Services Union (HSU) and the Shop, Distributive and Allied Employees Association (SDA).
[3] On 24 November 2016, directions were issued for the filing of material in relation to the substantive claims. On 17 February 2017 the SDA on behalf of the interested parties filed a series of draft determinations in relation to claims 1-4 by consent. The draft determinations can be found at Annexure A to this decision. Accordingly, the claims were no longer in dispute between the parties.
[4] On 21 February 2017, the PGA advised the Commission that it did not intend to press its application in respect of claim 6. The remaining disputed substantive claim (claim 5) was listed for hearing on 31 March 2017.
Relevant Statutory Provisions
[5] The modern awards objective is set out in s.134 of the FW Act:
134 The modern awards objective
What is the modern awards objective?
(1) The FWC must ensure that modern awards, together with the National Employment Standards, provide a fair and relevant minimum safety net of terms and conditions, taking into account:
(a) relative living standards and the needs of the low paid; and
(b) the need to encourage collective bargaining; and
(c) the need to promote social inclusion through increased workforce participation; and
(d) the need to promote flexible modern work practices and the efficient and productive performance of work; and
(e) the principle of equal remuneration for work of equal or comparable value; and
(f) the likely impact of any exercise of modern award powers on business, including on productivity, employment costs and the regulatory burden; and
(g) the need to ensure a simple, easy to understand, stable and sustainable modern award system for Australia that avoids unnecessary overlap of modern awards; and
(h) the likely impact of any exercise of modern award powers on employment growth, inflation and the sustainability, performance and competitiveness of the national economy.
This is the modern awards objective.
When does the modern awards objective apply?
(2) The modern awards objective applies to the performance or exercise of the FWC’s modern award powers, which are:
(a) the FWC’s functions or powers under this Part; and
(b) the FWC’s functions or powers under Part 2 6, so far as they relate to modern award minimum wages.
Note: The FWC must also take into account the objects of this Act and any other applicable provisions. For example, if the FWC is setting, varying or revoking modern award minimum wages, the minimum wages objective also applies (see section 284).
[6] The Commission’s power with respect to achieving the modern awards objective is set out in s.138 of the FW Act:
138 Achieving the modern awards objective
A modern award may include terms that it is permitted to include, and must include terms that it is required to include, only to the extent necessary to achieve the modern awards objective and (to the extent applicable) the minimum wages objective.
Summary of the SDA’s evidence and submissions
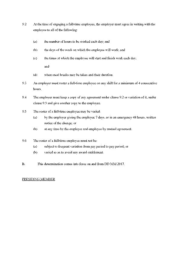
[7] The disputed substantive claim concerned an application by the SDA to make two variations to cl.11 of the Pharmacy Award relating to full-time employees (item 5 in the list of substantive variations earlier set out). The Draft Determination filed by the SDA in relation to these variations can be found at Annexure B to this Decision.
[8] The SDA submitted that the approach required to be taken in the conduct of 4 yearly reviews of modern awards is such that the Commission is required to “review each modern award against the modern awards objective so as to ensure that modern awards, together with the NES, ‘provide a fair and relevant minimum safety net of terms and conditions’, taking into account the considerations set out in s 134(1)(a)-(h) of the Act.” 1
[9] It was submitted that the considerations in s.134 of the Act are broad, 2 and must be considered in the context of the award that is the subject of the review.3
[10] The general approach to the review of modern awards was set out by the Full Bench in 4 Yearly Review of Modern Award – Preliminary Jurisdictional Issues (the Preliminary Jurisdictional Decision): 4
“[23] The Commission is obliged to ensure that modern awards, together with the NES, provide a fair and relevant minimum safety net taking into account, among other things, the need to ensure a ‘stable’ modern award system (s.134(1)(g)). The need for a ‘stable’ modern award system suggests that a party seeking to vary a modern award in the context of the Review must advance a merit argument in support of the proposed variation. The extent of such an argument will depend on the circumstances. We agree with ABI’s submission that some proposed changes may be self evident and can be determined with little formality. However, where a significant change is proposed it must be supported by a submission which addresses the relevant legislative provisions and be accompanied by probative evidence properly directed to demonstrating the facts supporting the proposed variation.
[24] In conducting the Review the Commission will also have regard to the historical context applicable to each modern award. Awards made as a result of the award modernisation process conducted by the former Australian Industrial Relations Commission (the AIRC) under Part 10A of the Workplace Relations Act 1996 (Cth) were deemed to be modern awards for the purposes of the FW Act (see Item 4 of Schedule 5 of the Transitional Act). Implicit in this is a legislative acceptance that at the time they were made the modern awards now being reviewed were consistent with the modern awards objective. The considerations specified in the legislative test applied by the AIRC in the Part 10A process is, in a number of important respects, identical or similar to the modern awards objective in s.134 of the FW Act. In the Review the Commission will proceed on the basis that prima facie the modern award being reviewed achieved the modern awards objective at the time that it was made.
…
[27] These policy considerations tell strongly against the proposition that the Review should proceed in isolation unencumbered by previous Commission decisions. In conducting the Review it is appropriate that the Commission take into account previous decisions relevant to any contested issue. The particular context in which those decisions were made will also need to be considered. Previous Full Bench decisions should generally be followed, in the absence of cogent reasons for not doing so.” [Emphasis added]
[11] The first variation sought to amend cl.11 of the Award was to require employers to guarantee full-time employees at least four hours’ work when allocating shifts (the Shift Length Variation).
[12] Relevantly, cl.11 of the Pharmacy Award provides:
11. Full-time employees
A full-time employee is an employee who is engaged to work an average of 38 hours per week.
[13] The SDA submitted that the Pharmacy Award currently contains provisions relating to minimum shifts for part-time and casual employees; however no such provisions exist for full-time employees.
[14] Accordingly, it was submitted that the changes sought by the SDA to the Pharmacy Award were “underpinned by a cogent merit argument supporting the proposed variations.” 5
[15] The second variation would require employers of prospective full-time employees to enter into a written agreement with that employee at the time of their engagement, affording them a regular pattern of work, and providing that the pattern may only be varied by agreement (the Terms of Engagement Variation).
[16] The SDA submitted that there is a history of such provisions in pre-reform Awards; however particular consideration was not given to these provisions in the making of the Pharmacy Award.
[17] It was submitted that the variations sought were, “uncontroversial and self-evident, and achieve the modern awards objective of providing a fair and relevant minimum safety net of terms and conditions, taking into account: (a) relative living standards and the needs of the low paid; and (b) the need to ensure a simple, easy to understand, stable and sustainable modern award system…. (c) the need to promote social inclusion through increased workforce participation.” 6 The SDA did not file any evidence in support of the variations sought.
[18] The SDA tendered 11 pre-reform awards that purported to demonstrate the history of awards in the community pharmacy industry. It was submitted that six of the pre-reform awards contained provisions relating to minimum shifts for full-time employees.
[19] Further, 10 of the pre-reform awards contained provisions relating to the establishment and variation of the ordinary rostered working hours for full-time employees. It was therefore submitted that such provisions were standard in pre-reform awards.
Shift Length Variation
[20] The SDA submitted that the Pharmacy Award provide for minimum daily engagement periods for part-time and casual employees, however no such protections existed for full-time employees.
[21] The SDA submitted that it would be “incongruous” to afford minimum shift protections to part-time and casual employees, whilst failing to provide the same protections to full-time employees. 7 It submitted the inclusion of such a provision would correct this “anomaly”.8
[22] It was submitted that the absence of these protections may result in a full-time employee being rostered for “inappropriately” short shifts (for example, 30 minute shifts). 9 It was further submitted that such an arrangement would be “at odds” with cl.25 of the Award:
25. Hours of work
25.1 This clause does not operate to limit, increase or in any way alter the trading hours of any employer as determined by the relevant State or Territory legislation.
25.2 Ordinary hours
(a) Ordinary hours may be worked, within the following spread of hours:
Days Spread of Hours
Monday to Sunday 7.00 am – midnight
(b) Hours of work on any day will be continuous, except for rest pauses and meal breaks and must not be more than 12 hours per day.
25.3 38 hour week rosters
A full-time employee will be rostered for an average of 38 hours per week, worked in any of the following forms:
(a) 38 hours in one week; or
(b) 76 hours in two consecutive weeks.
25.4 Rostering—Permanent employees
(a) The following roster requirements will apply to permanent employees:
(i) Ordinary hours will be rostered so as to provide an employee with two consecutive days off each week or three consecutive days off in a two week period.
(ii) Ordinary hours and any reasonable additional hours may not be rostered over more than six consecutive days.
(iii) Ordinary hours may not be rostered over more than five days in a week, provided that ordinary hours may be rostered on six days in one week where ordinary hours are rostered on no more than four days in the following week.
(iv) An employee who regularly works Sundays will be rostered so as to have three consecutive days off each four weeks and the consecutive days off will include Saturday and Sunday.
(b) A requirement will not apply where the employee requests in writing and the employer agrees to other arrangements, which are to be recorded in the time and wages records. It cannot be made a condition of employment that an employee make such a request.
(c) An employee can terminate the agreement by giving four weeks’ notice to the employer. The notice need not be given where the agreement terminates on an agreed date or at the end of an agreed period. For the avoidance of doubt this provision does not apply to part-time employees’ agreed pattern of work under clause 12.2.
(d) The rostering provision of clause 25.4(a)(iv) does not apply to a part-time employee whose agreed hours under clause 12.2(b) provides that the employee will work on either or both Saturday and Sunday each week and where the agreement provides that the employee will have at least two consecutive days off work each week.
[23] It was conceded that, whilst cl.25 offers some protection, it does not prevent a full-time employee from being rostered to work a shift of any particular length. 10 The SDA submitted that the appropriate shift length for full-time employees would be 4 hours, and that such a variation would be self-evident and may be determined with little formality.
[24] It was submitted that the “most basic principle” to achieve a fair safety net is ensuring that employees are paid appropriately. Accordingly, regard should be had to the “cost and time” required to attend work, in considering whether an employee is appropriately compensated for performing that work. 11
[25] The SDA referred to the submissions of the ACTU in the part-time and casual common issue proceedings, where it was submitted that, “the appropriate minimum safety net entitlement is that an employee should, after accounting for travel, childcare and other costs, earn at least one-fifth of the Newstart weekly amount being $56.33 per day.” 12 It was submitted that a full-time Pharmacy Assistant Level 1 must work for 3 hours to earn this amount. It was further submitted the amount of compensation an employee receives for working a shift, must be greater than if they did not work that shift. Accordingly, it was submitted that the minimum shift for full-time employees should be four hours.
[26] Further, the SDA submitted that an inappropriately short shift may “impact an employee’s ability to enjoy non-working time,” 13 for example disrupting caring responsibilities, attending appointments and recreational time.
[27] In summary, the SDA submitted that the inclusion of the Shift Length Variation in the Pharmacy Award achieves the modern awards objective, having regard ss.134(1)(d),(e) and (f) of the Act.
Terms of Engagement Variation
[28] The SDA submitted that the inclusion of a provision prescribing a regular pattern of work for full-time employees is “essential to meeting the requirements of the Act; other provisions contained in the Award; and in order to meet the modern awards objective and to provide a fair and relevant safety net.” 14
[29] It was submitted that the balance of pre-reform awards in the community pharmacy industry contained provisions setting out a regular pattern of work and providing how that pattern may be varied.
[30] The SDA submitted that there were several indicia of whether an employment relationship was permanent or casual, including:
“…the number of hours worked each week, the expectation of continuity of employment, the requirement to provide notice if an employee is absent or on leave and whether there is a reasonable expectation that work will be available. Other key factors include whether the employment pattern is regular, whether a roster system is published in advance and whether you work to consistent starting and finishing times.” 15
[31] Accordingly, it was submitted that with the absence of such a provision in the Pharmacy Award ensuring that full-time employees are guaranteed a regular pattern of work, full-time employees may be treated similarly to casual employees with a minimum of 38 hours per week.
[32] Further, the SDA submitted that the absence of a provision relating to the variation of working hours by agreement between an employee and employer is contradictory to the requirements of s.145A of the Act and cl.8.2 of the Pharmacy Award. 16 Section 145A of the FW Act provides:
145A Consultation about changes to rosters or hours of work
(1) Without limiting paragraph 139(1)(j), a modern award must include a term that:
(a) requires the employer to consult employees about a change to their regular roster or ordinary hours of work; and
(b) allows for the representation of those employees for the purposes of that consultation.
(2) The term must require the employer:
(a) to provide information to the employees about the change; and
(b) to invite the employees to give their views about the impact of the change (including any impact in relation to their family or caring responsibilities); and
(c) to consider any views about the impact of the change that are given by the employees.
[33] This provision is adopted in cl.8.2 of the Pharmacy Award:
8.2 Consultation about changes to rosters or hours of work
(a) Where an employer proposes to change an employee’s regular roster or ordinary hours of work, the employer must consult with the employee or employees affected and their representatives, if any, about the proposed change.
(b) The employer must:
(i) provide to the employee or employees affected and their representatives, if any, information about the proposed change (for example, information about the nature of the change to the employee’s regular roster or ordinary hours of work and when that change is proposed to commence);
(ii) invite the employee or employees affected and their representatives, if any, to give their views about the impact of the proposed change (including any impact in relation to their family or caring responsibilities); and
(iii) give consideration to any views about the impact of the proposed change that are given by the employee or employees concerned and/or their representatives.
(c) The requirement to consult under this clause does not apply where an employee has irregular, sporadic or unpredictable working hours.
(d) These provisions are to be read in conjunction with other award provisions concerning the scheduling of work and notice requirements.
[34] It was submitted that the consultation requirements in the FW Act and the Pharmacy Award necessitate the inclusion of a provision relating to how rosters may be formulated (in the SDA’s submission, this should be at the time of engagement) and varied.
[35] The SDA submitted that the purpose of the 2013 amendments to the FW Act that added s.145A were to:
“…ensure that an employee’s family and caring responsibilities are taken into account by their employer when changes are made to their working arrangements. This amendment demonstrates that the intention of the Act is to provide modern awards which ensure that rostering and working hours are structured in such a way as to support working families to achieve the necessary arrangements in order to meet family and caring responsibilities.” 17
[36] It was submitted that the variation was important to ensure that working hours are stable, to enable employees to manage family and caring responsibilities. Further, the SDA submitted that regular working hours should already be common practice, and as such the variation would not cause any significant change. It was submitted that the variation was necessary to achieve the modern awards objective, having regard to ss.134(1)(g), (h) and (i) of the FW Act.
[37] The SDA submitted that the variations sought are, “uncontroversial, simple and self-evident.” 18 It submitted that the merits supporting the variation have been made out, satisfying the requirements for the Commission to make the variation as sought.
Summary of the PGA’s Submissions
[38] The PGA submitted that the variations sought by the SDA to the Pharmacy Award were “not insignificant” and would result in more onerous obligations placed on employers, than in respect to the obligations to part-time and casual employees. 19
[39] The PGA submitted that, pursuant to s.138 of the Act, the Commission may “only include terms in a modern award to the extent necessary to create a ‘fair and relevant safety net’.” 20
[40] The PGA also relied on the following passage in the Preliminary Jurisdictional Decision: 21
“[60] On the basis of the foregoing we would make the following general observations about the Review:
…
3. The Review is broader in scope than the Transitional Review of modern awards completed in 2013. The Commission is obliged to ensure that modern awards, together with the NES, provide a fair and relevant minimum safety net taking into account, among other things, the need to ensure a ‘stable’ modern award system (s.134(1)(g)). The need for a ‘stable’ modern award system suggests that a party seeking to vary a modern award in the context of the Review must advance a merit argument in support of the proposed variation. The extent of such an argument will depend on the circumstances. Some proposed changes may be self evident and can be determined with little formality. However, where a significant change is proposed it must be supported by a submission which addresses the relevant legislative provisions and be accompanied by probative evidence properly directed to demonstrating the facts supporting the proposed variation. In conducting the Review the Commission will also have regard to the historical context applicable to each modern award and will take into account previous decisions relevant to any contested issue. The particular context in which those decisions were made will also need to be considered. Previous Full Bench decisions should generally be followed, in the absence of cogent reasons for not doing so. The Commission will proceed on the basis that prima facie the modern award being reviewed achieved the modern awards objective at the time that it was made…” [Emphasis added]
[41] The PGA submitted that “any significant change to the PI Award sought by the SDA must be supported by a submission which addresses the relevant legislative framework and probative evidence properly directed to demonstrating the facts supporting the proposed variation”. 22
Shift Length Variation
[42] The PGA conceded that the Pharmacy Award does not currently contain provisions affording full-time employees a minimum shift engagement, however notes that the minimum shift engagement for part-time and casual employees is 3 hours, rather than 4 hours as sought by the SDA. Accordingly, it was submitted that if the Commission was minded to make such a variation, that the minimum engagement for full-time employees should be 3 hours.
[43] The PGA rejected the SDA’s reliance on the submissions of the ACTU in the part-time and casual common issues proceedings, contending that there was no evidence advanced in support of that submission. Furthermore, there was no evidence to suggest that such a submission was also applicable to the Community Pharmacy Industry.
[44] It was also submitted that this was an irrelevant consideration, as the introduction of such a provision would not affect the remuneration payable to full-time employees, or their allocated working hours.
[45] The PGA submitted that the Pharmacy Award presently contains significant protections for full-time employees. It was submitted that the manner in which full-time employees may be rostered was dealt with “extensively” in cl.25 of the Pharmacy Award, as set out previously. In particular, it was submitted that:
“…an employee may only be rostered to perform ordinary hours in one continuous period (except for rest pauses) between the hours or 7:00am and midnight. There are further restrictions on the method of rostering being that:
(a) Ordinary hours will be rostered so as to provide an employee with two consecutive days off each week or three consecutive days off in a two week period;
(b) Ordinary hours and any reasonable additional hours may not be rostered over more than six consecutive days;
(c) Ordinary hours may not be rostered over more than five days in a week, provided that ordinary hours may be rostered on six days in one week where ordinary hours are rostered on no more than four days in the following week; and
(d) An employee who regularly works Sundays will be rostered so as to have three consecutive days off each four weeks and the consecutive days off will include Saturday and Sunday.” 23
[46] Accordingly, it was submitted that given the significant protections in the Pharmacy Award for full-time employees, and the absence of probative evidence to support to the variations, “the Commission cannot be satisfied that the change is necessary to achieve the modern awards objective.” 24
Terms of Engagement Variation
[47] The PGA submitted that, whilst there was a history of including such a provision in pre-reform Awards for full-time employees, the prima facie position as per the Preliminary Jurisdictional Decision, 25 was that the modern awards objective was met at the time the Award was made.
[48] Further, the PGA rejected the submission that full-time employees may be treated as similar to casual employees with a minimum of 38 hours a week, as the hours worked by full-time employees are guaranteed and are accompanied by other significant protections.
[49] Accordingly, it was submitted that in the absence of evidence to support the variation other than inclusion of a similar provision in historical awards, the Commission cannot be satisfied that it is necessary to achieve the modern awards objective.
Summary of ABI’s and the NSWBC’s Submissions
[50] The ABI and NSWBC filed joint submissions in opposition to the variation sought by the SDA.
[51] The ABI and NSWBC submitted that the changes proposed by the SDA are substantive in nature and attract the requirements observed by the Full Bench in the Preliminary Jurisdictional Decision, 26 as outlined previously.
[52] It was submitted that, accordingly the variations sought must be supported by both submissions and probative evidence. It was submitted that the SDA had not advanced any evidence in support of its submissions. In particular, the ABI and NSWBC identified that no evidence in relation to the following issues:
“(a) how full time working hours are structured by employers;
(b) how full time working hours are averaged by employers;
(c) the duration and incidence of short shifts;
(d) to the extent that there is an incidence of short shifts for full-time employees in the industry, the extent of that practice; or
(e) the incidence or extent of employers varying working hours or patterns of work of full-time employees.” 27
[53] Further, it was submitted that the variations were unnecessary given the protections already contained within the Pharmacy Award. The ABI and NSWBC noted that cl.10 requires employers to inform employees of their terms of engagement, including whether they will be full-time, part-time or casual employees; cl.11 guarantees full-time employees 38 hours of work per week; and cl.25 prescribes how those hours may be arranged.
Shift Length Variation
[54] The ABI and NSWBC submitted that the protections in the Pharmacy Award for part-time and casual employees exist, as employees engaged on that basis typically work less than 38 hours a week and are more likely to be assigned shorter shifts. There is no such concern for full-time employees as they are guaranteed an average of 38 hours per week of work.
[55] It was submitted that any considerations with respect to the time and cost required to attend work for a short shift were irrelevant, given that, “the employee’s income over the pay period remains the same, and the likelihood of working any more than one short shift in a roster period is minimal,” 28 having regard to the requirement for a full-time employee to be rostered for 38 hours per week. It was submitted that it is appropriate to consider the entire work week, rather than one day in isolation.
[56] The SDA’s submission that short shifts may impact on an employee’s ability to enjoy non-working time was rejected by the ABI and NSWBC for similar reasons. Whilst a full-time employee may work a short shift on one day, the total hours they may work during that week does not change.
Terms of Engagement Variation
[57] The ABI and NSWBC submitted that the SDA incorrectly referred to the common law test for determining whether an employee was engaged on a full-time basis. Rather, whether an employee was engaged on a full-time basis may be determined by reference to cl.11 of the Pharmacy Award, that is, whether the employee is engaged to work for 38 hours per week.
[58] It was further submitted that there was nothing in cl.8.2 of the Pharmacy Award that requires an employee to agree to any changes to their rostered hours of work, merely that consultation must occur.
[59] The ABI and NSWBC submitted that there are no difficulties with how the Pharmacy Award currently operates and that the change is not necessary to achieve the modern awards objective.
Consideration
[60] The SDA sought to vary the Pharmacy Award by inserting two provisions relating to full-time employees. The SDA argued that both variations were “uncontroversial” and “self-evident” and accordingly did not adduce any evidence in support of the variations.
[61] The extent of the evidence which might be required to support any proposed variation to a modern award was discussed in the Preliminary Jurisdictional Decision as follows:
“The extent of such an argument will depend on the circumstances. We agree with ABI’s submission that some proposed changes may be self evident and can be determined with little formality. However, where a significant change is proposed it must be supported by a submission which addresses the relevant legislative provisions and be accompanied by probative evidence properly directed to demonstrating the facts supporting the proposed variation.” 29
[62] In relation to the Shift Length Variation, we do not agree that it is self-evident that a modern award must contain provisions setting a minimum shift length for full-time employees merely because such provisions exist for casual and part-time provisions in the same award. The rationale for such provisions is generally to ensure that an employee receives a reasonable amount of work and income for each attendance at the workplace to justify the expense and time associated with that attendance, and thus to avoid employee exploitation. However that rationale applies itself with different degrees of force to casual, part-time and full-time employment. The issue is at its most acute with casual employees, who have no guarantee of ongoing work and income, and are accordingly most vulnerable to exploitation in the shape of accepting very short shifts in the hope of being allocated future work. The position is less acute with part-time employees, who at least have a minimum weekly guarantee of hours, although the capacity for exploitation still exists where the minimum guarantee is a low one and the employee hopes to supplement his or her income with additional hours. In relation to full-time employees, the rationale has much less force. A full-time employee is guaranteed 38 hours per week (sometimes averaged over the course of a roster cycle), so the employee has a secure income, and the costs involved in attending work will tend to average themselves out over the course of the week (or roster cycle), with any shorter shifts having to be balanced by longer shifts in order that the required 38 hours’ is made up. Therefore it cannot be the case that minimum shift lengths for full-time employees are automatically necessary.
[63] There may be nonetheless circumstances which require a modern award to contain minimum shift lengths for full-time employees in order to meet the modern awards objective. However there is no evidence before us to demonstrate that any such circumstances exist in relation to the Pharmacy Award. There was no evidence that any employees under this award are working under rosters which regularly require the working of very short shifts in a way which exploits or grossly inconveniences such employees. Further the requirements in clause 25 concerning the rostering of full-time hours place significant practical constraints on the extent to which full-time employees may be rostered onto short shifts. Accordingly we are not satisfied that the Shift Length Variation is necessary to meet the modern awards objective.
[64] In relation to the Terms of Engagement Variation, we again do not consider that it is self-evident that the new provision which is sought is necessary to meet the modern awards objective. A provision of the type claimed by the SDA is commonly found in modern awards in relation to part-time employment. However the rationale for this is that part-time employment is most often taken up by persons who have other major commitments in their lives such as family responsibilities, study or secondary employment, and require certainty as to the pattern of their working hours in order that they can meet those other commitments. Again, that rationale applies itself in an entirely different way to full-time employment. While modern awards (unlike the Pharmacy Award) usually contain provisions concerning the notice to be provided to employees of rosters and roster changes, they do not generally contain provisions which prohibit the alteration of working hours except with the agreement of the employee. There would need to be probative evidence demonstrating the need for a provision of this nature in order for the Commission to be satisfied that it was necessary to meet the modern awards objective. No such evidence was forthcoming, and accordingly we are not satisfied that the Terms of Engagement Variation is necessary to meet the modern awards objective.
Conclusion
[65] Accordingly for the aforementioned reasons, taking all of these matters into account, the SDA’s application in relation to the Shift Length Variation and Terms of Engagement Variation in cl.11 (as set out in Annexure B) is dismissed.
[66] In relation to the other variations sought by the interested parties by consent (as set out in Annexure A), those variations are agreed, straightforward and uncontroversial. The interested parties made submissions at the hearing on 31 March 2017 in support of the variations. 30
[67] Having regard to the requirements set out in s.134(1) of the Act, and the consent submissions of the interested parties to support the making of the variations in Annexure A, as stated, the variations sought are necessary to achieve the modern awards objective.
[68] These variations are therefore, considered appropriate. Determinations to give effect to the variations will separately be issued. The variations will take effect on 7 August 2017.

VICE PRESIDENT
Appearances:
Ms K Biddlestone on behalf of the Shop, Distributive and Allied Employees Association and the Association of Professional Engineers, Scientists and Managers, Australia.
Ms J Light, Mr S Harris and Ms C Lombard on behalf of the Pharmacy Guild of Australia.
Ms M Chan on behalf of the Australian Business Industrial and the New South Wales Business Chamber.
Ms R Liebhaber on behalf of the Health Services Union.
Hearing details:
2017.
Sydney:
31 March.
1 Submissions of the SDA dated 17 February 2017 at [5].
2 National Retailers Association v Fair Work Commission (2014) 225 FCR 154 [109].
3 Four Yearly Review of Modern Awards – Annual Leave [2015] FWCFB 3406 [19] – [20].
5 Submissions of the SDA dated 17 February 2017 at [9].
6 Ibid at [17].
7 Ibid at [25].
8 Transcript dated 31 March 2017 at PN44.
9 Submissions of the SDA dated 17 February 2017 at [26].
10 Transcript dated 31 March 2017 at PN73.
11 Submissions of the SDA dated 17 February 2017 at [28].
12 Ibid at [31].
13 Ibid at [33].
14 Ibid at [36].
15 Ibid at [39].
16 Ibid at [43] – [44], [51].
17 Ibid at [53]; see also Explanatory Memorandum to the Fair Work Amendment Act 2013 at 43 – 45.
18 Transcript dated 31 March 2017 at PN47.
19 PGA’s Submissions in Reply – Substantive Claims dated 24 March 2017 at [5].
20 Ibid at [8].
22 PGA’s Submissions in Reply – Substantive Claims dated 24 March 2017 at [10].
23 Ibid at [22].
24 Ibid at [25].
25 [2017] FWCFB 1788 at [111].
26 [2014] FWCFB 1788 at [23].
27 ABI’s and NSWBC’s Submissions in Reply dated 29 Match 2017 at [3.4].
28 Ibid at [5.7].
29 4 Yearly Review of Modern Awards: Preliminary Jurisdictional Issues [2014] FWCFB 1788 at [23].
30 Ibid at PN32, PN38 – PN39.
Printed by authority of the Commonwealth Government Printer
<Price code G, PR594267>
Annexure A




Annexure B
